-
[leetcode] 147. Insertion Sort List코딩테스트 2021. 4. 29. 22:43
문제)
Given the head of a singly linked list, sort the list using insertion sort, and return the sorted list's head.
The steps of the insertion sort algorithm:
- Insertion sort iterates, consuming one input element each repetition and growing a sorted output list.
- At each iteration, insertion sort removes one element from the input data, finds the location it belongs within the sorted list and inserts it there.
- It repeats until no input elements remain.
The following is a graphical example of the insertion sort algorithm. The partially sorted list (black) initially contains only the first element in the list. One element (red) is removed from the input data and inserted in-place into the sorted list with each iteration.

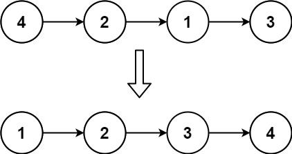
Example 1:

Input: head = [4,2,1,3] Output: [1,2,3,4]
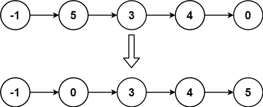
Example 2:

Input: head = [-1,5,3,4,0] Output: [-1,0,3,4,5]
Constraints:
- The number of nodes in the list is in the range [1, 5000].
- -5000 <= Node.val <= 5000
풀이)
public ListNode insertionSortList(ListNode head) { if( head == null ){ return head; } ListNode helper = new ListNode(-1); ListNode cur = head; ListNode pre = helper; ListNode next = null; while( cur != null ){ next = cur.next; while( pre.next != null && pre.next.val < cur.val ){ pre = pre.next; } cur.next = pre.next; pre.next = cur; pre = helper; cur = next; } return helper.next; }더보기1. 설명
- 링크드 리스트 순회를 위해 cur, pre, next 변수 선언
- while문 내에서 pre의 값을 순회하면서 입력될 위치를 찾음
- 링크드 리스트의 특성대로, 삽입될 위치의 앞뒤 노드를 현재 노드와 연결시킴
2. 제출결과

3. 시간복잡도
O(n²)
'코딩테스트' 카테고리의 다른 글
[Leetcode] 75. Sort Colors (0) 2021.05.03 [Leetcode] 57. Insert Interval (0) 2021.05.02 [Leetcode] 56. Merge Intervals (0) 2021.04.27 [Leetcode] 395. Longest Substring with At Least K Repeating Characters (0) 2021.04.25 [Leetcode] 215. Kth Largest Element in an Array (0) 2021.04.24